Quicklooks: ESR-MRI(skyrad)

Latest observation data


- Antarctica, Antarctica -

Rothera

SiteStatus: Open, Operation: Operating, DataTransfer: On-line

Rothera pom01 2025/03/24

ESR-MRI_v2-1_L2A_Rothera_pom01_20250324.jpg

Top




- India, Asia -

Hanle

SiteStatus: Open, Operation: Stopping, DataTransfer: Off-line

Hanle pom01 2017/12/30

ESR-MRI_v2-1_L2A_Hanle_pom01_20171230.jpg

Top




Merak

SiteStatus: Open, Operation: Stopping, DataTransfer: Off-line

Merak pom01 2015/05/28

ESR-MRI_v2-1_L2_Merak_pom01_20150528.jpg

Top




- Japan, Asia -

Amakusa

SiteStatus: Open, Operation: Operating, DataTransfer: Off-line

Amakusa pom02 2024/10/13

ESR-MRI_v2-1_L2A_Amakusa_pom02_20241013.jpg

Top




Abashiri-JMA

SiteStatus: Open, Operation: Operating, DataTransfer: Off-line

Abashiri-JMA pom02 2025/02/28

ESR-MRI_v2-1_L2A_Abashiri-JMA_pom02_20250228.jpg

Top




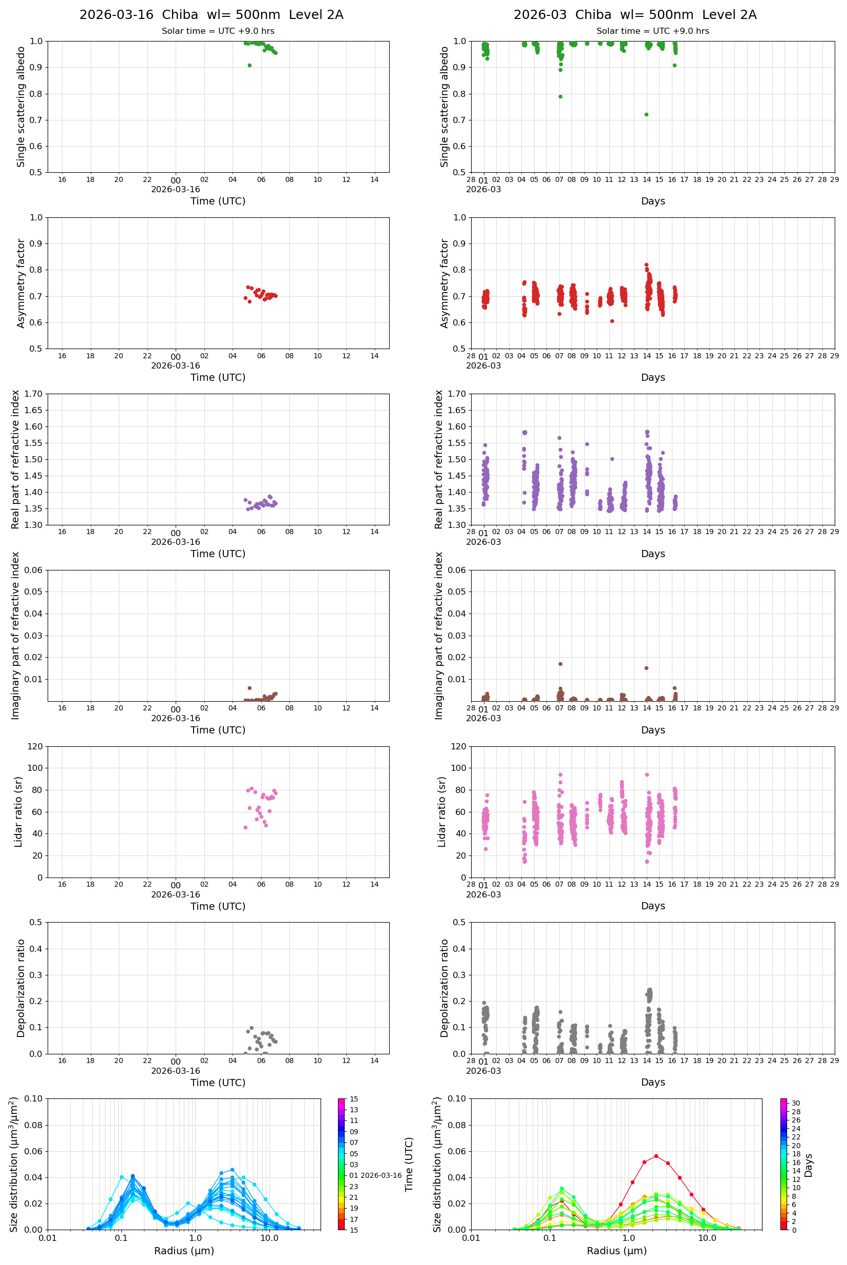
Chiba

SiteStatus: Open, Operation: Operating, DataTransfer: On-line

Chiba pom02 2025/10/19

ESR-MRI_v2-1_L2A_Chiba_pom02_20251019.jpg

Top




Etchujima

SiteStatus: Open, Operation: Operating, DataTransfer: On-line

Etchujima pom01 2025/10/19

ESR-MRI_v2-1_L2A_Etchujima_pom01_20251019.jpg

Top




Fujihokuroku

SiteStatus: Open, Operation: Operating, DataTransfer: On-line

Fujihokuroku pom02 2025/10/18

ESR-MRI_v2-1_L2A_Fujihokuroku_pom02_20251018.jpg

Top




Fukue

SiteStatus: Open, Operation: Operating, DataTransfer: On-line

Fukue pom02 2025/05/31

ESR-MRI_v2-1_L2A_Fukue_pom02_20250531.jpg

Top




Fukuoka-RIAM

SiteStatus: Open, Operation: Operating, DataTransfer: On-line

Fukuoka-RIAM pom02 2025/09/30

ESR-MRI_v2-1_L2A_Fukuoka-RIAM_pom02_20250930.jpg

Top




Ishigakijima

SiteStatus: Open, Operation: Operating, DataTransfer: Off-line

Ishigakijima pom02 2025/02/28

ESR-MRI_v2-1_L2A_Ishigakijima_pom02_20250228.jpg

Top




Kofu

SiteStatus: Open, Operation: Operating, DataTransfer: On-line

Kofu pom02 2025/07/16

ESR-MRI_v2-1_L2A_Kofu_pom02_20250716.jpg

Top




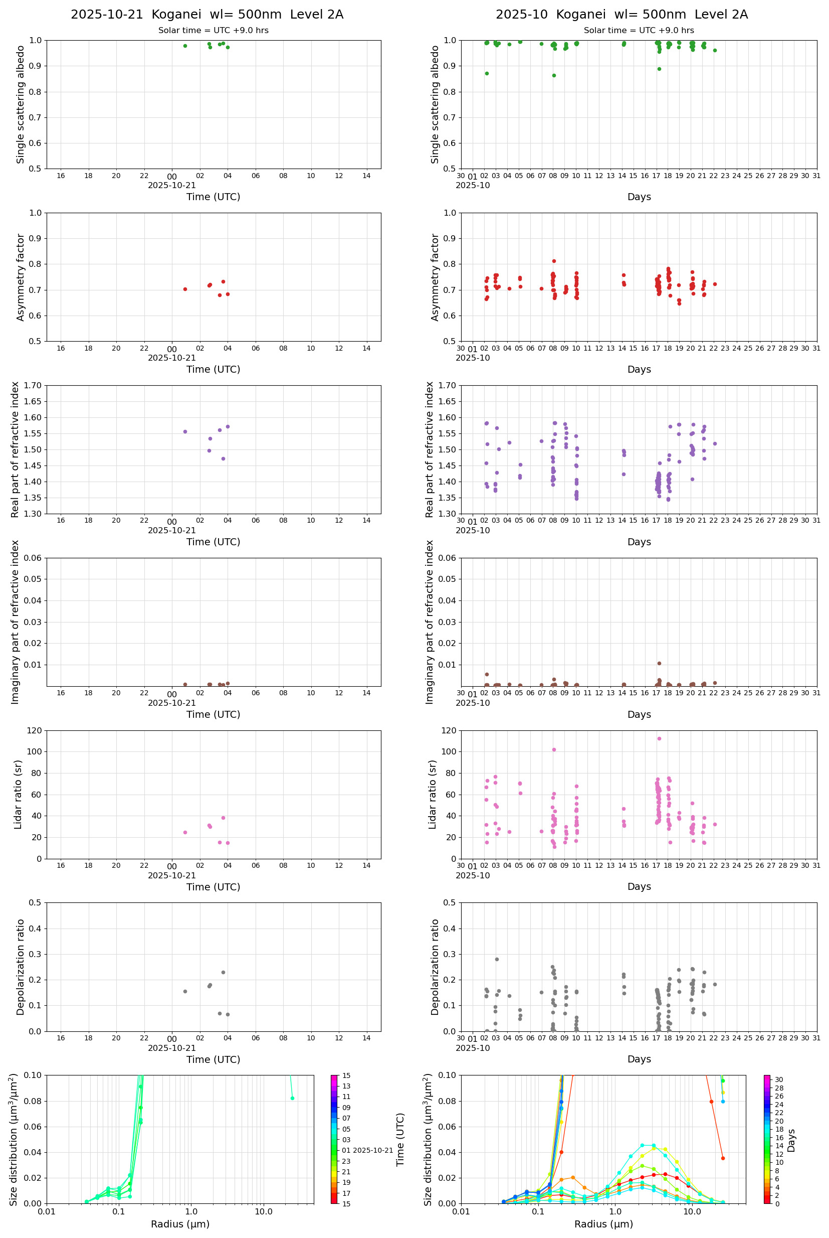
Koganei

SiteStatus: Open, Operation: Operating, DataTransfer: On-line

Koganei pom02 2025/10/21

ESR-MRI_v2-1_L2A_Koganei_pom02_20251021.jpg

Top




Minamitorishima-JMA

SiteStatus: Open, Operation: Operating, DataTransfer: Off-line

Minamitorishima-JMA pom02 2024/12/07

ESR-MRI_v2-1_L2A_Minamitorishima-JMA_pom02_20241207.jpg

Top




Moshiri

SiteStatus: Close

Moshiri pom02 2011/10/31

ESR-MRI_v2-1_L2A_Moshiri_pom02_20111031.jpg

Top




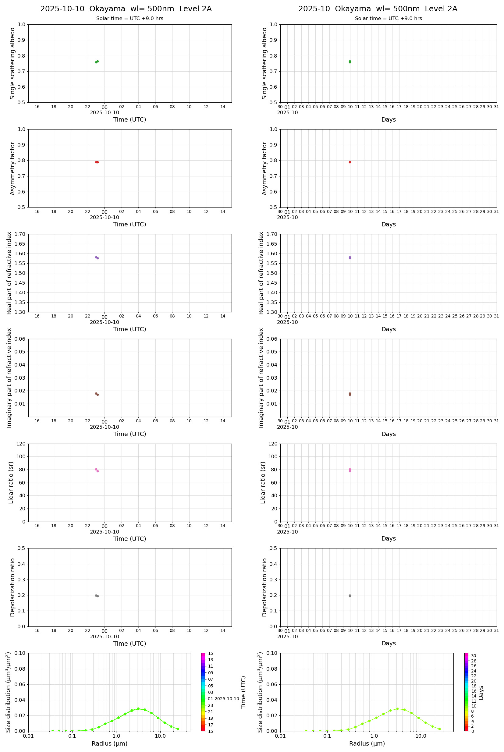
Okayama

SiteStatus: Open, Operation: Operating, DataTransfer: On-line

Okayama pom02 2025/10/10

ESR-MRI_v2-1_L2A_Okayama_pom02_20251010.jpg

Top




Rikubetsu

SiteStatus: Open, Operation: Operating, DataTransfer: On-line

Rikubetsu pom02 2025/10/21

ESR-MRI_v2-1_L2A_Rikubetsu_pom02_20251021.jpg

Top




Saga

SiteStatus: Open, Operation: Operating, DataTransfer: On-line

Saga pom02 2025/10/20

ESR-MRI_v2-1_L2A_Saga_pom02_20251020.jpg

Top




Sapporo-JMA

SiteStatus: Close

Sapporo-JMA pom02 2020/11/13

ESR-MRI_v2-1_L2_Sapporo-JMA_pom02_20201113.jpg

Top




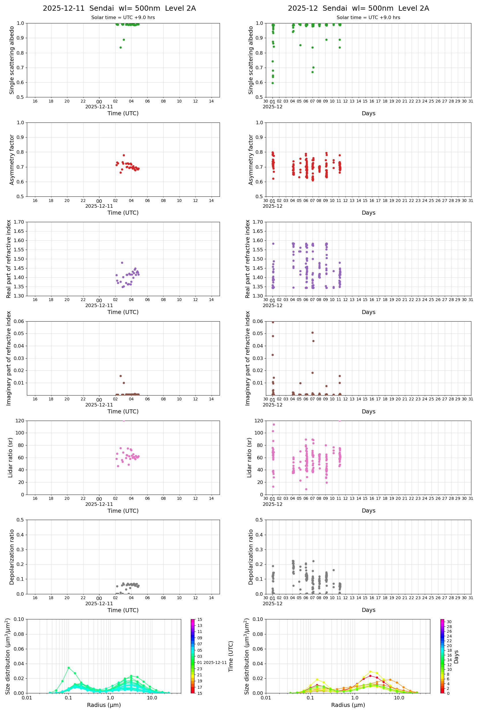
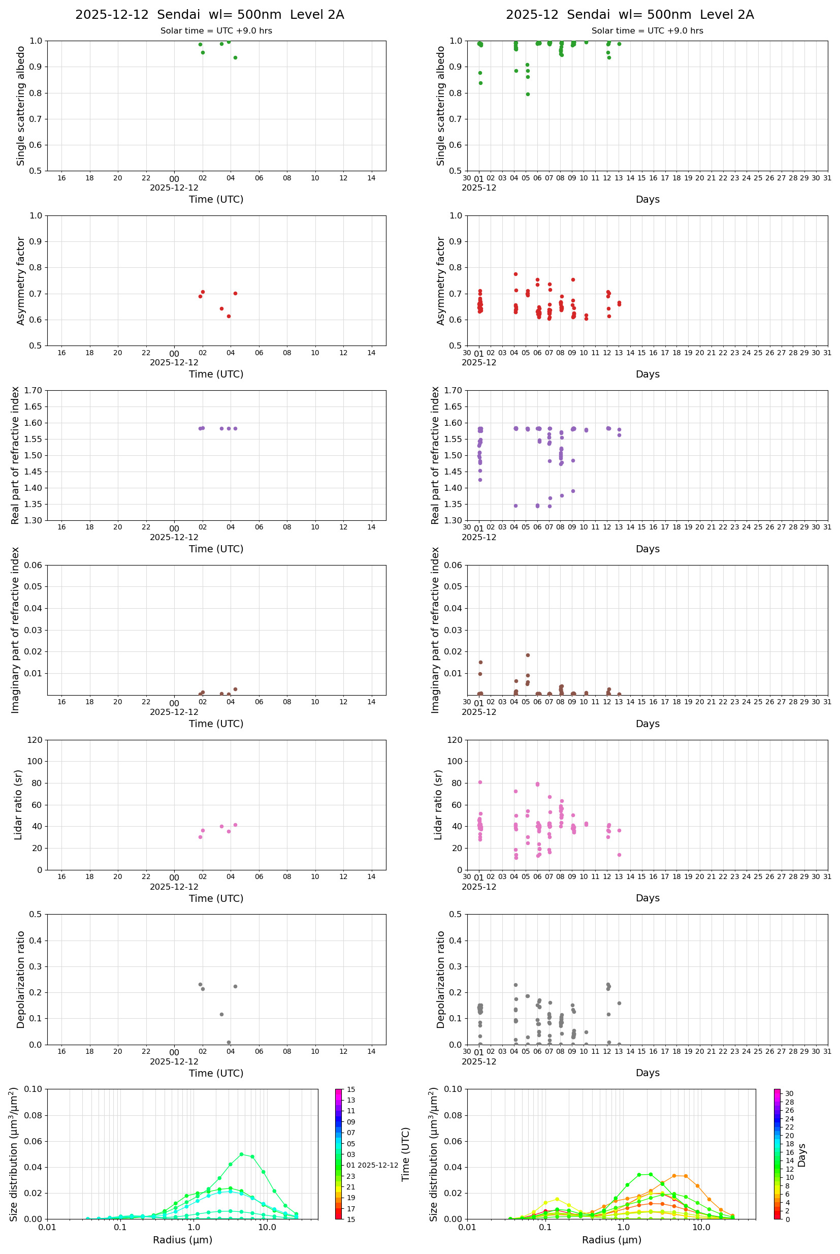
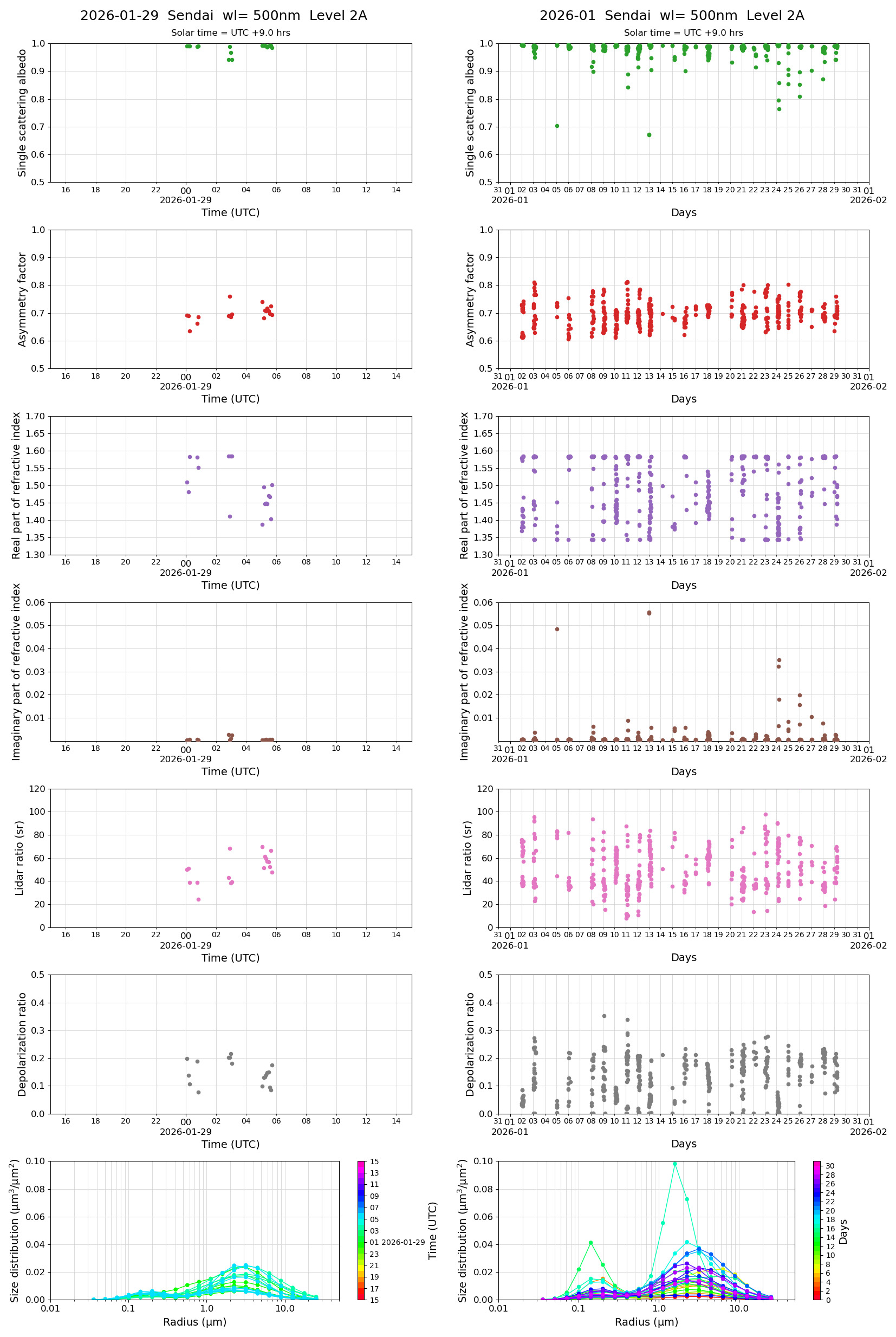
Sendai

SiteStatus: Open, Operation: Operating, DataTransfer: On-line

Sendai pom01 2025/06/08

ESR-MRI_v2-1_L2A_Sendai_pom01_20250608.jpg

Top




Sendai pom02 2025/08/28

ESR-MRI_v2-1_L2A_Sendai_pom02_20250828.jpg

Top




Takayama

SiteStatus: Open, Operation: Operating, DataTransfer: On-line

Takayama pom02 2025/08/19

ESR-MRI_v2-1_L2A_Takayama_pom02_20250819.jpg

Top




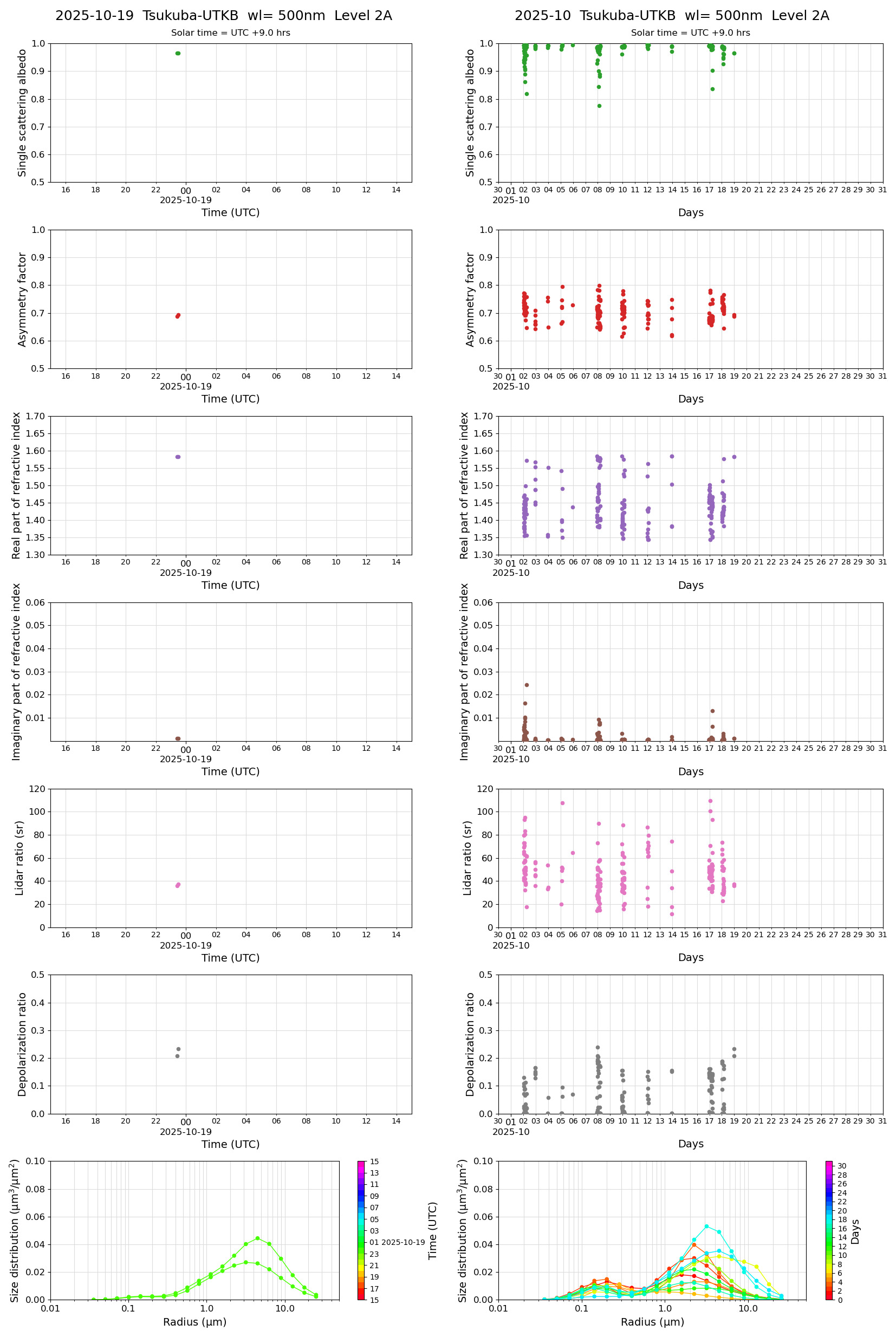
Tsukuba-UTKB

SiteStatus: Open, Operation: Operating, DataTransfer: On-line

Tsukuba-UTKB pom02 2025/10/19

ESR-MRI_v2-1_L2A_Tsukuba-UTKB_pom02_20251019.jpg

Top




- Mongolia, Asia -

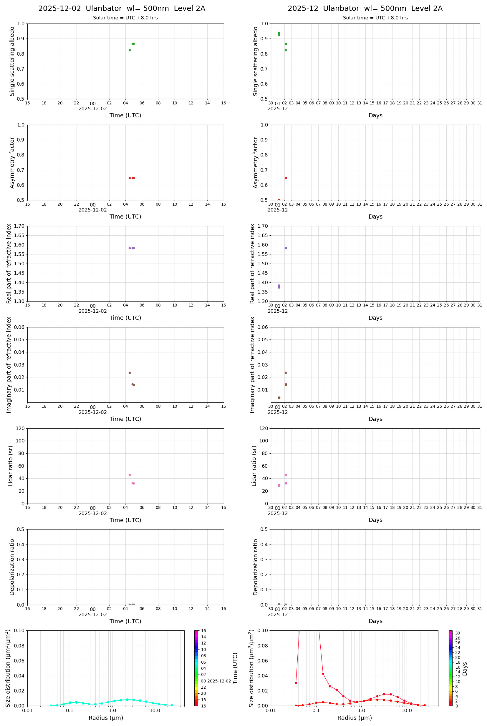
Ulanbator

SiteStatus: Open, Operation: Operating, DataTransfer: On-line

Ulanbator pom01 2025/10/21

ESR-MRI_v2-1_L2A_Ulanbator_pom01_20251021.jpg

Top




- Philippines, Asia -

Burgos

SiteStatus: Open, Operation: Operating, DataTransfer: On-line

Burgos pom02 2025/10/21

ESR-MRI_v2-1_L2A_Burgos_pom02_20251021.jpg

Top




- Thailand, Asia -

Phimai

SiteStatus: Open, Operation: Stopping, DataTransfer: On-line

Phimai pom02 2025/03/25

ESR-MRI_v2-1_L2A_Phimai_pom02_20250325.jpg

Top




- Czech Republic, Europe -

HradecKralove

SiteStatus: Open, Operation: Operating, DataTransfer: On-line

HradecKralove pom02 2025/08/30

ESR-MRI_v2-1_L2A_HradecKralove_pom02_20250830.jpg

Top




- Germany, Europe -

Bremen

SiteStatus: Close

Bremen pom02 2009/08/06

ESR-MRI_v2-1_L2_Bremen_pom02_20090806.jpg

Top




Lindenberg

SiteStatus: Open, Operation: Operating, DataTransfer: On-line

Lindenberg pom02 2024/07/31

ESR-MRI_v2-1_L2A_Lindenberg_pom02_20240731.jpg

Top




Lindenberg pom02-moon 2022/08/25

ESR-MRI_v2-1_L2_Lindenberg_pom02-moon_20220825.jpg

Top




Zingst

SiteStatus: Open, Operation: Operating, DataTransfer: On-line

Zingst pom02-moon 2025/08/29

ESR-MRI_v2-1_L2A_Zingst_pom02-moon_20250829.jpg

Top




- Italy, Europe -

Aosta

SiteStatus: Open, Operation: Operating, DataTransfer: On-line

Aosta pom02 2025/04/12

ESR-MRI_v2-1_L2A_Aosta_pom02_20250412.jpg

Top




Rome

SiteStatus: Open, Operation: Operating, DataTransfer: On-line

Rome pom02-moon 2025/10/19

ESR-MRI_v2-1_L2A_Rome_pom02-moon_20251019.jpg

Top




TorVergata

SiteStatus: Open, Operation: Operating, DataTransfer: On-line

TorVergata pom01-moon 2025/10/21

ESR-MRI_v2-1_L2A_TorVergata_pom01-moon_20251021.jpg

Top




- Spain, Europe -

Izana

SiteStatus: Open, Operation: Operating, DataTransfer: On-line

Izana pom01 2020/11/25

ESR-MRI_v2-1_L2_Izana_pom01_20201125.jpg

Top




Izana pom01-moon 2025/10/21

ESR-MRI_v2-1_L2A_Izana_pom01-moon_20251021.jpg

Top




Seville

SiteStatus: open, Operation: Operating, DataTransfer: On-line

Seville pom02 2025/08/29

ESR-MRI_v2-1_L2A_Seville_pom02_20250829.jpg

Top




Valencia

SiteStatus: Open, Operation: Operating, DataTransfer: On-line

Valencia pom02 2025/08/29

ESR-MRI_v2-1_L2A_Valencia_pom02_20250829.jpg

Top




- Switzerland, Europe -

Davos

SiteStatus: Open, Operation: Operating, DataTransfer: On-line

Davos pom01-moon 2025/10/16

ESR-MRI_v2-1_L2A_Davos_pom01-moon_20251016.jpg

Top




- United Kingdom, Europe -

Cambridge

SiteStatus: Open, Operation: Operating, DataTransfer: On-line

Cambridge pom01 2025/08/25

ESR-MRI_v2-1_L2A_Cambridge_pom01_20250825.jpg

Top




- USA, North America -

Golden

SiteStatus: Open, Operation: Operating, DataTransfer: On-line

Golden pom01 2025/08/30

ESR-MRI_v2-1_L2A_Golden_pom01_20250830.jpg

Top




- New Zealand, Oceania -

Lauder

SiteStatus: Open, Operation: Operating, DataTransfer: On-line

Lauder pom02 2025/10/21

ESR-MRI_v2-1_L2A_Lauder_pom02_20251021.jpg

Top